Exercise: Automatic Control Systems

Questions for: Automatic Control Systems

For the given figure, time constant RC = t. Then
A:
t2s2 + 2ts + 1
B:
C:
ts2 + 1
D:
Answer: B

.

The first column of a Routh array is

How many roots of the corresponding characteristic equation are in left half s-plane?
A:
2
B:
3
C:
4
D:
5
Answer: B

Total number of roots is 5. Since two sign changes in first column, two roots are in right half plane.

Hence 3 roots in left half plane.

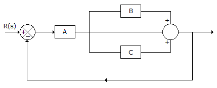
For the system of the given figure the transfer function is
A:
B:
C:
D:
Answer: D

Transfer function = .

In a minimum phase system
A:
all poles lie in the left half plane
B:
all zeros lie in the left half plane
C:
all poles lie in the right half plane
D:
all except one pole or zero lie in the left half plane
Answer: B

For stability poles must be in left half plane. Zeros in left half plane lead to minimum phase shift.

For very low frequencies, v0/vi in the given figure equals
A:
1
B:
0
C:
D:
0.5
Answer: A

For low frequencies Xc is very high as compared to R. Hence .

Ad Slot (Above Pagination)
Quiz